中华人民共和国行业标准
危险房屋鉴定标准
JGJ 125-2016
批准部门:中华人民共和国住房和城乡建设部
施行日期:2016年12月1日
第1201号
住房城乡建设部关于发布行业标准《危险房屋鉴定标准》的公告
现批准《危险房屋鉴定标准》为行业标准,编号为JGJ 125-2016,自2016年12月1日起实施。其中,第5.3.2、5.4.2、5.5.2、5.6.2、6.2.2、6.2.3条为强制性条文,必须严格执行。原《危险房屋鉴定标准》JGJ 125-99(2004年版)同时废止。本标准由我部标准定额研究所组织中国建筑工业出版社出版发行。
前言
根据住房和城乡建设部《关于印发<2011年工程建设标准规范制订、修订计划>的通知》(建标[2011]17号)的要求,标准编制组经广泛调查研究,认真总结实践经验,参考有关国际标准和国内先进标准,并在广泛征求意见的基础上,修订了本标准。
本标准的主要技术内容是:1 总则;2 术语和符号;3 基本规定;4 地基危险性鉴定;5 构件危险性鉴定;6 房屋危险性鉴定;7 鉴定报告。
本标准修订的主要技术内容是:1 增加了术语;2 修订了鉴定方法,将原标准三层次的评定方法改为两阶段三层次评定方法;3 增加了地基危险性鉴定的内容,将地基与基础构件的危险性分开进行鉴定;4 增加了根据房屋建造年代对构件承载力计算时抗力与效应比的调整系数;对构件危险性鉴定,完善了单个构件划分的相关规定,增加了围护结构承重构件的危险性鉴定内容,完善了对各种类型构件危险状态的评定标准;5 修订了原标准的综合评判方法,采用分层危险性鉴定及整体结构危险构件综合比例鉴定法代替了原标准的模糊综合评判法,同时增加了对传力体系简单的两层及两层以下房屋的直接鉴定法;6 将原标准附录A(鉴定报告)的内容调整至新增的第7章鉴定报告中,提出了存在危险构件房屋和评定为局部危房或整幢危房的房屋的原则性处理建议。
本标准中以黑体字标志的条文为强制性条文,必须严格执行。
本标准由住房和城乡建设部负责管理和对强制性条文的解释,由上海市房地产科学研究院负责具体技术内容的解释。执行过程中如有意见或建议,请寄送上海市房地产科学研究院(地址:上海市复兴西路193号,邮政编码:200031)。
本标准主编单位:
上海市房地产科学研究院
舜元建设(集团)有限公司
本标准参编单位:
中国人民解放军后勤工程学院
武汉市房屋安全鉴定站
上海房屋质量检测站
天津市房屋安全鉴定检测中心
广州市房屋安全鉴定管理所
西安市房屋安全鉴定中心
北京市房地产科学技术研究所
常州市房产信息中心
重庆市房屋安全监测鉴定中心
本标准主要起草人员:陈洋 蔡乐刚 史先进 许天添 徐光新 江世永 陈高瞻 曾宪武 周云 杜敬 何小菱 赵亿 张卓然 漆昌明 陈海民 徐俊 陈曦虎 顾方兆 张冰 杨威 刘永福 李陵洲 李迥 熊先才 温畅
本标准主要审查人员:陆洲导 冼明斌 高平平 朱春明 吴体 喻云龙 徐宝发 郝挺宇 李向峰
1 总 则
1.0.1 为有效利用既有房屋,准确判断房屋结构的危险程度,及时处理危险房屋,确保房屋结构安全,制定本标准。
1.0.2 本标准适用于高度不超过100m的既有房屋的危险性鉴定。
1.0.3 既有房屋的危险性鉴定,除应符合本标准规定外,尚应符合国家现行有关标准的规定。
2 术语和符号
2.1 术 语
2.1.1 既有房屋 existing building
建成两年以上且已投入使用的房屋。
2.1.2 构件 member
组成房屋整体结构的基本单元,一般是指承受各种作用的单个结构构件,也可以是由若干杆件或构件组成的组合构件。
2.1.3 调查 investigation通过现场查勘、收集查阅文件等手段进行的信息收集。
2.1.4 检测 inspection
对既有房屋的结构状况或性能所进行的检查、测量和检验等工作。
根据调查、检测和分析验算结果,对既有结构的危险性按照规定的标准和方法所进行的评价。
2.1.6 危险性鉴定 dangerous appraisal
实施一组工作活动,其目的在于判定被鉴定房屋的危险性程度。
其自身失效将导致其他相关构件失效,并危及承重结构系统安全的墙、柱、主梁及屋架等构件。
2.1.8 一般构件 common member
其自身失效不会引发其他构件失效的次梁、楼板等构件。
承载能力、连接构造等性能及裂缝、变形、腐蚀或蛀蚀等损伤指标不能满足安全使用要求的结构构件。
2.1.10 危险点 dangerous point
房屋结构体系中评定为危险构件的结构构件。
房屋结构体系中存在承重构件被评定为危险构件,导致局部或整体不能满足安全使用要求的房屋。
2.2 符 号
2.2.1 构件危险性鉴定
Hg——自室外地面起算的建筑物高度;
h——墙、柱计算高度;
l0——结构构件计算长度;
R——结构构件抗力;
S——结构构件作用效应;
——结构构件抗力与效应之比调整系数;
γ0——结构构件重要性系数;
ρ——木材斜纹理或斜裂缝的斜率。
2.2.2 房屋危险性鉴定
B——地下室结构层数;
F——上部结构层数;
f——基础结构层数;
ndf——基础危险构件数量;
nf——基础构件数量;
ndpci——第i层中柱危险构件数量;
ndsci——第i层边柱危险构件数量;
ndcci——第i层角柱危险构件数量;
ndwi——第i层墙体危险构件数量;
npci——第i层中柱构件数量;
nsci——第i层边柱构件数量;
ncci——第i层角柱构件数量;
nwi——第i层墙体构件数量;
ndrti——第i层屋架危险构件数量;
ndpmbi——第i层中梁危险构件数量;
ndsmbi——第i层边梁危险构件数量;
nrti——第i层屋架构件数量;
npmbi——第i层中梁构件数量;
nsmbi——第i层边梁构件数量;
ndsbi——第i层次梁危险构件数量;
ndsi——第i层楼(屋)面板危险构件数量;
nsbi——第i层次梁数量;
nsi——第i层楼(屋)面板数量;
ndsmi——第i层围护结构危险承重构件数量;
nsmi——第i层围护结构承重构件数量;
R——整体结构危险构件综合比例;
Rf——基础层危险构件综合比例;
Rsi——上部结构(含地下室)第i层危险构件综合比例。
3 基本规定
3.1 鉴定程序
3.1.1 房屋危险性鉴定应根据委托要求确定鉴定范围和内容。
3.1.2 鉴定实施前应调查、收集和分析房屋原始资料,并应进行现场查勘,制定检测鉴定方案。
3.1.3 应根据检测鉴定方案对房屋现状进行现场检测,必要时应采用仪器测试、结构分析和验算。
3.1.4 房屋危险性等级评定应在对调查、查勘、检测、验算的数据资料进行全面分析的基础上进行综合评定。
3.1.5 应按本标准第7章的相关规定出具鉴定报告,提出原则性的处理建议。
3.2 鉴定方法
3.2.1 房屋危险性鉴定应根据地基危险性状态和基础及上部结构的危险性等级按下列两阶段进行综合评定:
1 第一阶段为地基危险性鉴定,评定房屋地基的危险性状态;
2 第二阶段为基础及上部结构危险性鉴定,综合评定房屋的危险性等级。
3.2.2 基础及上部结构危险性鉴定应按下列三层次进行:
1 第一层次为构件危险性鉴定,其等级评定为危险构件和非危险构件两类。
2 第二层次为楼层危险性鉴定,其等级评定为Au、Bu、Cu、Du四个等级。
3 第三层次为房屋危险性鉴定,其等级评定为A、B、C、D四个等级。
4 地基危险性鉴定
4.1 一般规定
4.1.1 地基的危险性鉴定包括地基承载能力、地基沉降、土体位移等内容。
4.1.2 需对地基进行承载力验算时,应通过地质勘察报告等资料来确定地基土层分布及各土层的力学特性,同时宜根据建造时间确定地基承载力提高的影响,地基承载力提高系数可按现行国家标准《建筑抗震鉴定标准》GB 50023相应规定取值。
4.1.3 地基危险性状态鉴定应符合下列规定:
1 可通过分析房屋近期沉降、倾斜观测资料和其上部结构因不均匀沉降引起的反应的检查结果进行判定;
2 必要时宜通过地质勘察报告等资料对地基的状态进行分析和判断,缺乏地质勘察资料时,宜补充地质勘察。
4.2 评定方法
4.2.1 当单层或多层房屋地基出现下列现象之一时,应评定为危险状态:
1 当房屋处于自然状态时,地基沉降速率连续两个月大于4mm/月,且短期内无收敛趋势;当房屋处于相邻地下工程施工影响时,地基沉降速率大于2mm/天,且短期内无收敛趋势;
2 因地基变形引起砌体结构房屋承重墙体产生单条宽度大于10mm的沉降裂缝,或产生最大裂缝宽度大于5mm的多条平行沉降裂缝,且房屋整体倾斜率大于1%;
3 因地基变形引起混凝土结构房屋框架梁、柱出现开裂,且房屋整体倾斜率大于1%;
4 两层及两层以下房屋整体倾斜率超过3%,三层及三层以上房屋整体倾斜率超过2%;
5 地基不稳定产生滑移,水平位移量大于10mm,且仍有继续滑动迹象。
4.2.2 当高层房屋地基出现下列现象之一时,应评定为危险状态:
1 不利于房屋整体稳定性的倾斜率增速连续两个月大于0.05%/月,且短期内无收敛趋势;
2 上部承重结构构件及连接节点因沉降变形产生裂缝,且房屋的开裂损坏趋势仍在发展;
3 房屋整体倾斜率超过表4.2.2规定的限值。
表4.2.2 高层房屋整体倾斜率限值
| 房屋高度(m) |
24<Hg≤60
|
60<Hg≤100
|
|
倾斜率限值 |
0.7%
|
0.5%
|
注:Hg为自室外地面起算的建筑物高度(m)。
5 构件危险性鉴定
5.1 一般规定
5.1.1 单个构件的划分应符合下列规定:
1 基础应包括下列内容:
1)独立基础以一个基础为一个构件;
2)柱下条形基础以一个柱间的一轴线为一个构件;
3)墙下条形基础以一个自然间的一轴线为一个构件;
4)带壁柱墙下条形基础按计算单元的划分确定;
5)单桩以一根为一个构件;
6)群桩以一个承台及其所含的基桩为一个构件;
7)筏形基础和箱形基础以一个计算单元为一个构件。
2 墙体应包括下列内容:
1)砌筑的横墙以一层高、一自然间的一轴线为一个构件;
2)砌筑的纵墙(不带壁柱)以一层高、一自然间的一轴线为一个构件;
3)带壁柱的墙按计算单元的划分确定;4)剪力墙按计算单元的划分确定。
3 柱应包括下列内容:
1)整截面柱以一层、一根为一个构件;
2)组合柱以层、整根(即含所有柱肢和缀板)为一个构件。
4 梁式构件应以一跨、一根为一个构件;若为连续梁时,可取一整根为一个构件。
5 杆(包括支撑)应以仅承受拉力或压力的一根杆为一个构件。
6 板应包括下列内容:
1)现浇板按计算单元的划分确定;
2)预制板以梁、墙、屋架等主要构件围合的一个区域为一个构件;
3)木楼板以一开间为一个构件。
7 桁架、拱架应以一榀为一个构件。
8 网架、折板和壳应以一个计算单元为一个构件。
9 柔性构件应以两个节点间仅承受拉力的一根连续的索、杆等为一个构件。
5.1.2 结构分析及承载力验算应符合下列规定:
1 结构分析应根据环境对材料、构件和结构性能的影响,以及结构累积损伤影响等进行;
2 结构构件承载力验算时应按现行设计规范的计算方法进行,计算时可不计入地震作用,且根据不同建造年代的房屋,其抗力与效应之比的调整系数应按表5.1.2取用。
表5.1.2 结构构件抗力与效应之比调整系数()
注:1 房屋类型按建造年代进行分类,Ⅰ类房屋指1989年以前建造的房屋,Ⅱ类房屋指1989年~2002年间建造的房屋,Ⅲ类房屋是指2002年以后建造的房屋;
2 对楼面活荷载标准值在历次《建筑结构荷载规范》GB 50009修订中未调高的试验室、阅览室、会议室、食堂、餐厅等民用建筑及工业建筑,采用括号内数值。
5.1.3 构件材料强度的标准值应按下列原则确定:
1 当原设计文件有效,且不怀疑结构有严重的性能退化或设计、施工偏差时,可采用原设计的标准值;
2 当实际调查情况不符合本条第1款的要求时,应按现行国家标准《建筑结构检测技术标准》GB/T 50344的规定进行现场检测确定。
5.1.4 结构或构件的几何参数应采用实测值,并应计入锈蚀、腐蚀、腐朽、虫蛀、风化、裂缝、缺陷、损伤以及施工偏差等的影响。
5.1.5 当构件同时符合下列条件时,可直接评定为非危险构件:
1 构件未受结构性改变、修复或用途及使用条件改变的影响;
2 构件无明显的开裂、变形等损坏;
3 构件工作正常,无安全性问题。
5.2 基础构件
5.2.1 基础构件的危险性鉴定应包括基础构件的承载能力、构造与连接、裂缝和变形等内容。5.2.2 基础构件的危险性鉴定应符合下列规定:1 可通过分析房屋近期沉降、倾斜观测资料和其因不均匀沉降引起上部结构反应的检查结果进行判定。判定时,应检查基础与承重砖墙连接处的水平、竖向和斜向阶梯形裂缝状况,基础与框架柱根部连接处的水平裂缝状况,房屋的倾斜位移状况,地基滑坡、稳定、特殊土质变形和开裂等状况。
2 必要时,宜结合开挖方式对基础构件进行检测,通过验算承载力进行判定。
5.2.3 当房屋基础构件有下列现象之一者,应评定为危险点:
1 基础构件承载能力与其作用效应的比值不满足式(5.2.3)的要求:
式中:
R——结构构件抗力;
S——结构构件作用效应;
γ0——结构构件重要性系数。
2 因基础老化、腐蚀、酥碎、折断导致上部结构出现明显倾斜、位移、裂缝、扭曲等,或基础与上部结构承重构件连接处产生水平、竖向或阶梯形裂缝,且最大裂缝宽度大于10mm。
3 基础已有滑动,水平位移速度连续两个月大于2mm/月,且在短期内无收敛趋势。
5.3 砌体结构构件
5.3.1 砌体结构构件的危险性鉴定应包括承载能力、构造与连接、裂缝和变形等内容。
5.3.2 砌体结构构件检查应包括下列主要内容:
1 查明不同类型构件的构造连接部位状况;
2 查明纵横墙交接处的斜向或竖向裂缝状况;
3 查明承重墙体的变形、裂缝和拆改状况;
4 查明拱脚裂缝和位移状况,以及圈梁和构造柱的完损情况;
5 确定裂缝宽度、长度、深度、走向、数量及分布,并应观测裂缝的发展趋势。
5.3.3 砌体结构构件有下列现象之一者,应评定为危险点:
1 砌体构件承载力与其作用效应的比值,主要构件不满足式(5.3.3-1)的要求,一般构件不满足式(5.3.3-2)的要求。
式中:
——结构构件抗力与效应之比调整系数,按表5.1.2取值。
2 承重墙或柱因受压产生缝宽大于1.0mm、缝长超过层高1/2的竖向裂缝,或产生缝长超过层高1/3的多条竖向裂缝。
3 承重墙或柱表面风化、剥落、砂浆粉化等,有效截面削弱达15%以上。
4 支承梁或屋架端部的墙体或柱截面因局部受压产生多条竖向裂缝,或裂缝宽度已超过1.0mm。
5 墙或柱因偏心受压产生水平裂缝。
6 单片墙或柱产生相对于房屋整体的局部倾斜变形大于7‰,或相邻构件连接处断裂成通缝。
7 墙或柱出现因刚度不足引起挠曲鼓闪等侧弯变形现象,侧弯变形矢高大于h/150,或在挠曲部位出现水平或交叉裂缝。
8 砖过梁中部产生明显竖向裂缝或端部产生明显斜裂缝,或产生明显的弯曲、下挠变形,或支承过梁的墙体产生受力裂缝。
9 砖筒拱、扁壳、波形筒拱的拱顶沿母线产生裂缝,或拱曲面明显变形,或拱脚明显位移,或拱体拉杆锈蚀严重,或拉杆体系失效。
10 墙体高厚比超过现行国家标准《砌体结构设计规范》GB 50003允许高厚比的1.2倍。
5.4 混凝土结构构件
5.4.1 混凝土结构构件的危险性鉴定应包括承载能力、构造与连接、裂缝和变形等内容。
5.4.2 混凝土结构构件检查应包括下列主要内容:
1 查明墙、柱、梁、板及屋架的受力裂缝和钢筋锈蚀状况;
2 查明柱根和柱顶的裂缝状况;
3 查明屋架倾斜以及支撑系统的稳定性情况。
5.4.3 混凝土结构构件有下列现象之一者,应评定为危险点:
1 混凝土结构构件承载力与其作用效应的比值,主要构件不满足式(5.4.3-1)的要求,一般构件不满足式(5.4.3-2)的要求;
2 梁、板产生超过l0/150的挠度,且受拉区的裂缝宽度大于1.0mm;或梁、板受力主筋处产生横向水平裂缝或斜裂缝,缝宽大于0.5mm,板产生宽度大于1.0mm的受拉裂缝;
3 简支梁、连续梁跨中或中间支座受拉区产生竖向裂缝,其一侧向上或向下延伸达梁高的2/3以上,且缝宽大于1.0mm,或在支座附近出现剪切斜裂缝;
4 梁、板主筋的钢筋截面锈损率超过15%,或混凝土保护层因钢筋锈蚀而严重脱落、露筋;
5 预应力梁、板产生竖向通长裂缝,或端部混凝土松散露筋,或预制板底部出现横向断裂缝或明显下挠变形;
6 现浇板面周边产生裂缝,或板底产生交叉裂缝;
7 压弯构件保护层剥落,主筋多处外露锈蚀;端节点连接松动,且伴有明显的裂缝;柱因受压产生竖向裂缝,保护层剥落,主筋外露锈蚀;或一侧产生水平裂缝,缝宽大于1.0mm,另一侧混凝土被压碎,主筋外露锈蚀;
8 柱或墙产生相对于房屋整体的倾斜、位移,其倾斜率超过10‰,或其侧向位移量大于h/300;
9 构件混凝土有效截面削弱达15%以上,或受力主筋截断超过10%;柱、墙因主筋锈蚀已导致混凝土保护层严重脱落,或受压区混凝土出现压碎迹象;
10 钢筋混凝土墙中部产生斜裂缝;
11 屋架产生大于l0/200的挠度,且下弦产生横断裂缝,缝宽大于1.0mm;
12 屋架的支撑系统失效导致倾斜,其倾斜率大于20‰;
13 梁、板有效搁置长度小于国家现行相关标准规定值的70%;
14 悬挑构件受拉区的裂缝宽度大于0.5mm。
5.5 木结构构件
5.5.1 木结构构件的危险性鉴定应包括承载能力、构造与连接、裂缝和变形等内容。
5.5.2 木结构构件检查应包括下列主要内容:
1 查明腐朽、虫蛀、木材缺陷、节点连接、构造缺陷、下挠变形及偏心失稳情况;
2 查明木屋架端节点受剪面裂缝状况;
3 查明屋架的平面外变形及屋盖支撑系统稳定性情况。
5.5.3 木结构构件有下列现象之一者,应评定为危险点:
1 木结构构件承载力与其作用效应的比值,主要构件不满足式(5.5.3-1)的要求,一般构件不满足式(5.5.3-2)的要求;
2 连接方式不当,构造有严重缺陷,已导致节点松动变形、滑移、沿剪切面开裂、剪坏或铁件严重锈蚀、松动致使连接失效等损坏;
3 主梁产生大于l0/150的挠度,或受拉区伴有较严重的材质缺陷;
4 屋架产生大于l0/120的挠度,或平面外倾斜量超过屋架高度的1/120,或顶部、端部节点产生腐朽或劈裂;
5 檩条、格栅产生大于l0/100的挠度,或入墙木质部位腐朽、虫蛀;
6 木柱侧弯变形,其矢高大于h/150,或柱顶劈裂、柱身断裂、柱脚腐朽等受损面积大于原截面20%以上;
7 对受拉、受弯、偏心受压和轴心受压构件,其斜纹理或斜裂缝的斜率ρ分别大于7%、10%、15%和20%;
8 存在心腐缺陷的木质构件;
9 受压或受弯木构件干缩裂缝深度超过构件直径的1/2,且裂缝长度超过构件长度的2/3。
5.6 钢结构构件
5.6.1 钢结构构件的危险性鉴定应包括承载能力、构造和连接、变形等内容。
5.6.2 钢结构构件检查应包括下列主要内容:
1 查明各连接节点的焊缝、螺栓、铆钉状况;
2 查明钢柱与梁的连接形式以及支撑杆件、柱脚与基础连接部位的损坏情况;
3 查明钢屋架杆件弯曲、截面扭曲、节点板弯折状况和钢屋架挠度、侧向倾斜等偏差状况。
5.6.3 钢结构构件有下列现象之一者,应评定为危险点:
1 钢结构构件承载力与其作用效应的比值,主要构件不满足式(5.6.3-1)的要求,一般构件不满足式(5.6.3-2)的要求;
2 构件或连接件有裂缝或锐角切口;焊缝、螺栓或铆接有拉开、变形、滑移、松动、剪坏等严重损坏;
3 连接方式不当,构造有严重缺陷;
4 受力构件因锈蚀导致截面锈损量大于原截面的10%;
5 梁、板等构件挠度大于l0/250,或大于45mm;
6 实腹梁侧弯矢高大于l0/600,且有发展迹象;
7 受压构件的长细比大于现行国家标准《钢结构设计规范》GB 50017中规定值的1.2倍;
8 钢柱顶位移,平面内大于h/150,平面外大于h/500;或大于40mm;
9 屋架产生大于l0/250或大于40mm的挠度;屋架支撑系统松动失稳,导致屋架倾斜,倾斜量超过h/150。
5.7 围护结构承重构件
5.7.1 围护结构承重构件主要包括围护系统中砌体自承重墙、承担水平荷载的填充墙、门窗洞口过梁、挑梁、雨篷板及女儿墙等。
5.7.2 围护结构承重构件的危险性鉴定应包括承载能力、构造和连接、变形等内容。
5.7.3 围护结构承重构件的危险性鉴定,应根据其构件类型按本章第5.3~5.6节的相关条款进行评定。
6 房屋危险性鉴定
6.1 一般规定
6.1.1 房屋危险性鉴定应根据被鉴定房屋的结构形式和构造特点,按其危险程度和影响范围进行鉴定。
6.1.2 房屋危险性鉴定应以幢为鉴定单位。
6.1.3 房屋基础及楼层危险性鉴定,应按下列等级划分:
1 Au级:无危险点;
2 Bu级:有危险点;
3 Cu级:局部危险;
4 Du级:整体危险。
6.1.4 房屋危险性鉴定,应根据房屋的危险程度按下列等级划分:
1 A级:无危险构件,房屋结构能满足安全使用要求;
2 B级:个别结构构件评定为危险构件,但不影响主体结构安全,基本能满足安全使用要求;
3 C级:部分承重结构不能满足安全使用要求,房屋局部处于危险状态,构成局部危房;
4 D级:承重结构已不能满足安全使用要求,房屋整体处于危险状态,构成整幢危房。
6.2 综合评定原则
6.2.1 房屋危险性鉴定应以房屋的地基、基础及上部结构构件的危险性程度判定为基础,结合下列因素进行全面分析和综合判断:
1 各危险构件的损伤程度;
2 危险构件在整幢房屋中的重要性、数量和比例;
3 危险构件相互间的关联作用及对房屋整体稳定性的影响;
4 周围环境、使用情况和人为因素对房屋结构整体的影响;
5 房屋结构的可修复性。
6.2.2 在地基、基础、上部结构构件危险性呈关联状态时,应联系结构的关联性判定其影响范围。
6.2.3 房屋危险性等级鉴定应符合下列规定:
1 在第一阶段地基危险性鉴定中,当地基评定为危险状态时,应将房屋评定为D级;
2 当地基评定为非危险状态时,应在第二阶段鉴定中,综合评定房屋基础及上部结构(含地下室)的状况后作出判断。
6.2.4 对传力体系简单的两层及两层以下房屋,可根据危险构件影响范围直接评定其危险性等级。
6.3 综合评定方法
6.3.1 基础危险构件综合比例应按下式确定:
式中:Rf——基础危险构件综合比例(%);
ndf——基础危险构件数量;
nf——基础构件数量。
6.3.2 基础层危险性等级判定准则应符合下列规定:
1 当Rf=0时,基础层危险性等级评定为Au级;
2 当0<Rf<5%时,基础层危险性等级评定为Bu级;
3 当5%≤Rf<25%时,基础层危险性等级评定为Cu级;
4 当Rf≥25%时,基础层危险性等级评定为Du级。
6.3.3 上部结构(含地下室)各楼层的危险构件综合比例应按下式确定,当本层下任一楼层中竖向承重构件(含基础)评定为危险构件时,本层与该危险构件上下对应位置的竖向构件不论其是否评定为危险构件,均应计入危险构件数量:
式中:Rsi——第i层危险构件综合比例(%);
ndpci、ndsci、ndcci、ndwi——第i层中柱、边柱、角柱及墙体危险构件数量;
npci、nsci、ncci、nwi——第i层中柱、边柱、角柱及墙体构件数量;
ndrti、ndpmbi、ndsmbi——第i层屋架、中梁、边梁危险构件数量;
nrti、npmbi、nsmbi——第i层屋架、中梁、边梁构件数量;
ndsbi、ndsi——第i层次梁、楼(屋)面板危险构件数量;
nsbi、nsi——第i层次梁、楼(屋)面板构件数量;
ndsmi——第i层围护结构危险构件数量;
nsmi——第i层围护结构构件数量。
6.3.4 上部结构(含地下室)楼层危险性等级判定应符合下列规定:
1 当Rsi=0时,楼层危险性等级应评定为Au级;
2 当0<Rsi<5%时,楼层危险性等级应评定为Bu级;
3 当5%≤Rsi<25%时,楼层危险性等级应评定为Cu级;
4 当Rsi≥25%时,楼层危险性等级应评定为Du级。
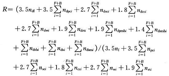
6.3.5 整体结构(含基础、地下室)危险构件综合比例应按下式确定:
式中:R——整体结构危险构件综合比例;
F——上部结构层数;
B——地下室结构层数。
6.3.6 房屋危险性等级判定准则应符合下列规定:
1 当R=0,应评定为A级;
2 当0<R<5%,若基础及上部结构各楼层(含地下室)危险性等级不含Du级时,应评定为B级,否则应为C级;
3 当5%≤R<25%,若基础及上部结构各楼层(含地下室)危险性等级中Du级的层数不超过(F+B+f)/3时,应评定为C级,否则应为D级;
4 当R≥25%时,应评定为D级。
7 鉴定报告
本标准用词说明
1 为便于在执行本标准条文时区别对待,对要求严格程度不同的用词说明如下:
1)表示很严格,非这样做不可的:
正面词采用“必须”,反面词采用“严禁”;
2)表示严格,在正常情况下均应这样做的:
正面词采用“应”,反面词采用“不应”或“不得”;
3)表示允许稍有选择,在条件许可时首先这样做的:
正面词采用“宜”,反面词采用“不宜”;
4)表示有选择,在一定条件下可以这样做的,采用“可”。
2 条文中指明应按其他有关标准执行的写法为:“应符合……的规定”或“应按……执行”。
7.0.1 危险房屋鉴定报告宜包括下列内容:
1 房屋的建筑、结构概况以及使用历史、维修情况等;
2 鉴定目的、内容、范围、依据及日期;
3 调查、检测、分析过程及结果;
4 评定等级或评定结果;
5 鉴定结论及建议;
6 相关附件。
7.0.2 鉴定报告中,应对危险构件的数量、位置、在结构体系中的作用以及现状作出详细说明,必要时可通过图表来进行说明。
7.0.3 在对被鉴定房屋提出处理建议时,应结合周边环境、经济条件等各类因素综合考虑。
7.0.4 对于存在危险构件的房屋,可根据危险构件的破损程度和具体情况有针对性地选择下列处理措施:
1 减少结构使用荷载;
2 加固或更换危险构件;
3 架设临时支撑;
4 观察使用或停止使用;
5 拆除部分或全部结构。
7.0.5 对评定为局部危房或整幢危房的房屋,可按下列方式进行处理:
1 观察使用:适用于采取适当安全技术措施后,尚能短期使用,但需继续观察的房屋。
2 处理使用:适用于采取适当安全技术措施后,可解除危险的房屋。
3 停止使用:适用于已无修缮价值,暂时不便拆除,又不危及相邻建筑和影响他人安全的房屋。
4 整体拆除:适用于整幢危险且无修缮价值,需立即拆除的房屋。5 按相关规定处理:适用于有特殊规定的房屋。
引用标准名录
1 《砌体结构设计规范》GB 50003
2 《建筑结构荷载规范》GB 50009
3 《钢结构设计规范》GB 50017
4 《建筑抗震鉴定标准》GB 50023
5 《建筑结构检测技术标准》GB/T 50344

